df<-readxl::read_excel("data_PM.xlsx")
library(lavaan)This is lavaan 0.6-17
lavaan is FREE software! Please report any bugs.
Download the following data_PM and open it into R.

df<-readxl::read_excel("data_PM.xlsx")
library(lavaan)This is lavaan 0.6-17
lavaan is FREE software! Please report any bugs.
model<-"
Y1~X1
Y2~Y1+X1
"
fit1<-sem(model,data=df)
summary(fit1)lavaan 0.6.17 ended normally after 1 iteration
Estimator ML
Optimization method NLMINB
Number of model parameters 5
Number of observations 100
Model Test User Model:
Test statistic 0.000
Degrees of freedom 0
Parameter Estimates:
Standard errors Standard
Information Expected
Information saturated (h1) model Structured
Regressions:
Estimate Std.Err z-value P(>|z|)
Y1 ~
X1 1.004 0.048 20.880 0.000
Y2 ~
Y1 2.018 0.210 9.592 0.000
X1 1.001 0.234 4.273 0.000
Variances:
Estimate Std.Err z-value P(>|z|)
.Y1 0.985 0.139 7.071 0.000
.Y2 4.360 0.617 7.071 0.000
We can compare the empirical covariance matrix:
n<-dim(df)[1]
round(cov(df)*(n-1)/n,3) Y1 Y2 X1
Y1 5.280 14.935 4.276
Y2 14.935 47.405 12.891
X1 4.276 12.891 4.258
to the fitted covariance matrix
fitted(fit1)$cov
Y1 Y2 X1
Y1 5.280
Y2 14.935 47.405
X1 4.276 12.891 4.258
The degree of freedom of the model is 0 (6 parameters to be estimated from 6 observed values).
We can perform two OLS regression and we will find the same solutions.
One of the avantage of the Path-modelling is to test the existence of the indirect effect \(I=\gamma_1\beta_1\) of \(\xi_1\) on \(\eta_2\). In the following code, we define this inidrect effect through the symbol :=
model<-"
Y1~g1*X1
Y2~b1*Y1+g2*X1
I:=g1*b1
"
fit1<-sem(model,data=df)
summary(fit1)lavaan 0.6.17 ended normally after 1 iteration
Estimator ML
Optimization method NLMINB
Number of model parameters 5
Number of observations 100
Model Test User Model:
Test statistic 0.000
Degrees of freedom 0
Parameter Estimates:
Standard errors Standard
Information Expected
Information saturated (h1) model Structured
Regressions:
Estimate Std.Err z-value P(>|z|)
Y1 ~
X1 (g1) 1.004 0.048 20.880 0.000
Y2 ~
Y1 (b1) 2.018 0.210 9.592 0.000
X1 (g2) 1.001 0.234 4.273 0.000
Variances:
Estimate Std.Err z-value P(>|z|)
.Y1 0.985 0.139 7.071 0.000
.Y2 4.360 0.617 7.071 0.000
Defined Parameters:
Estimate Std.Err z-value P(>|z|)
I 2.027 0.233 8.716 0.000
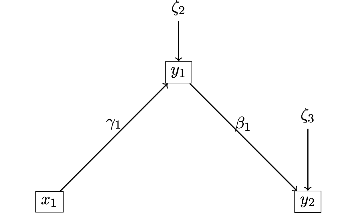
Build on lavaan the model corresponding to this path diagram:

model<-"
Y1~a*X1
Y2~b*Y1
I:=a*b
"
fit1<-sem(model,data=df)
summary(fit1)lavaan 0.6.17 ended normally after 1 iteration
Estimator ML
Optimization method NLMINB
Number of model parameters 4
Number of observations 100
Model Test User Model:
Test statistic 16.767
Degrees of freedom 1
P-value (Chi-square) 0.000
Parameter Estimates:
Standard errors Standard
Information Expected
Information saturated (h1) model Structured
Regressions:
Estimate Std.Err z-value P(>|z|)
Y1 ~
X1 (a) 1.004 0.048 20.880 0.000
Y2 ~
Y1 (b) 2.829 0.099 28.625 0.000
Variances:
Estimate Std.Err z-value P(>|z|)
.Y1 0.985 0.139 7.071 0.000
.Y2 5.156 0.729 7.071 0.000
Defined Parameters:
Estimate Std.Err z-value P(>|z|)
I 2.841 0.168 16.869 0.000