
[1] "La proba est égale à 0.036"
La notion d’efficacité d’une carte de contrôle est sa capacité à détecter un dérèglement alors que la production semble rester sous contrôle.
Le dérèglement peut concerner un décentrage (dérèglement de la moyenne) ou bien une augmentation de la dispersion. On va s’intéresser uniquement au problème de décentrage.
La notion d’efficacité est proche de la notion de puissance pour les tests statistiques.
On va traduire dans le contexte de la MSP les notions vues sur les tests.
Réalité (jamais connue) : dérive (ou non) de la production
Résultat du contrôle : détection (ou non) d’une dérive de production.
Ceci conduit à deux types d’erreurs
| Réalité | |||
|---|---|---|---|
| Déréglage | Non déréglage | ||
| carte de CTRL | Détection | VRAI POSITIF | FAUX POSITIF |
| Non détection | FAUX NEGATIF | VRAI NEGATIF | |
Ce que l’on connait (par construction de la carte de contrôle) :
La probabilité d’obtenir un faux positif : 0.3 % (par définition des limites de contrôle)
La probabilité d’obtenir un vrai négatif : 99.7% (toujours par construction).
Ce que l’on cherche :
La probabilité \(\beta\) d’obtenir un faux négatif ou de manière équivalente la probabilité \(1-\beta\) d’obtenir un vrai positif (appelée puissance du test).
Soit une production \(X\sim \mathcal N(100,5)\). On prélève des cartes de taille \(n=4\) et on suit la moyenne des prélèvements \(\bar X\sim \mathcal N(100,\frac5{\sqrt{4}})\).
On peut calculer les LIC et LSC associés et supposons que la moyenne se décentre de +3 (donc \(\tilde\mu=103\)). La probabilité de détecter au premier prélèvement est alors :

[1] "La proba est égale à 0.036"
La probabilité \(\beta\) de détecter le décentrage est
\[ 1-\beta=\mathbb P(\widetilde X <LSI)+\mathbb P(\widetilde X >LSC) \]
où \(\widetilde X \sim \mathcal N(\mu_D,\frac{\sigma}{\sqrt{n}}).\) Un calcul simple permet d’obtenir
\[ \beta = \Phi\left(\frac{LIC-\mu_D}{\sigma/\sqrt{n}}\right)-\left[1-\Phi\left(\frac{LSC-\mu_D}{\sigma/\sqrt{n}}\right)\right]. \]
où \(\Phi(x)=\mathbb P(X<x)\) est la fonction de répartition de la loi normale.
L’efficacité de la carte est mesurée par \(1-\beta\) ( puissance de la carte).
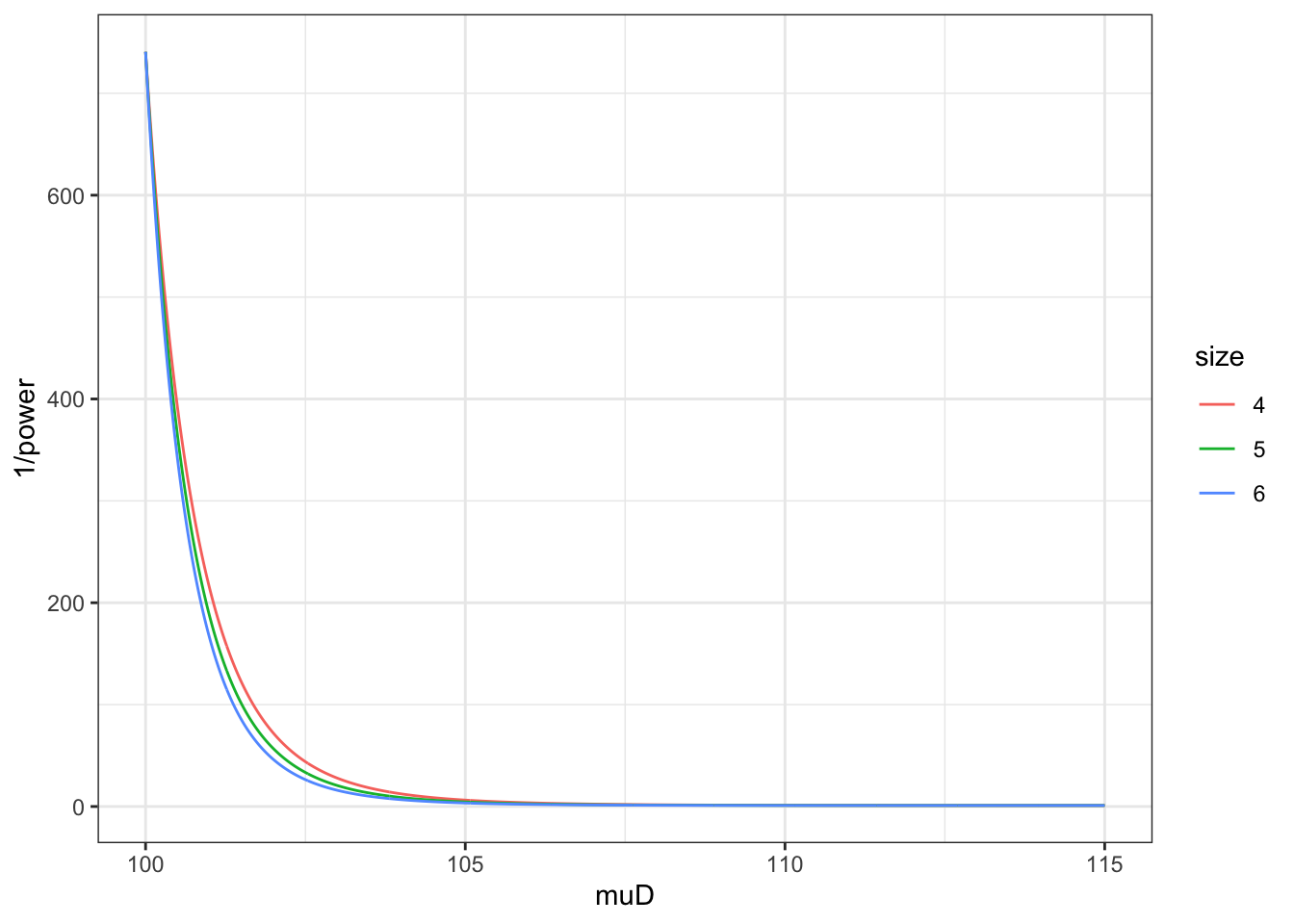
On obtient ainsi les courbes d’efficacité de la carte de la moyenne en fonction de la taille \(n\) des échantillons prélevés et de la magnitude du décentrage de moyenne.

On constate que la probabilité de détecter un déréglage donné augmente lorsque la taille de l’échantillon augmente.
Détecter un faux déréglage correspond à une fausse alerte qui vaut pour la carte de la moyenne \(\alpha=0.3\%\).
La période opérationnelle moyenne (POM) correspond au nombre moyen de prélèvements nécessaires pour être sûr de détecter un décentrage \[ POM=\frac{1}{1-\beta}.\]
ggplot(df,aes(x=muD,y=1/power,col=size))+
geom_line()+
theme_bw()